-
목차
자율주행자동차 흐름 모델링(Autonomous Vehicle Flow Modeling)은 자율주행차(Autonomous Vehicle, AV)가 포함된 교통 환경에서의 차량 흐름 특성과 상호작용을 수리적·시뮬레이션 기반으로 분석하는 교통공학 기술이다. 자율주행차는 사람 운전 차량과 다른 반응 속도, 차간 거리, 경로 계획 알고리즘을 가지기 때문에, 기존 교통 모델로는 이들의 집단 행동을 정확히 예측하기 어렵다. 이에 따라 AV의 도입률, 혼합교통(Mixed Traffic) 조건, 통신 연계 효과 등을 고려한 전용 흐름 모델이 필요해지고 있다. 서브 키워드로는 혼합교통 시뮬레이션, CAV 협력주행, 동적 흐름 분석이 있다.
1. 자율주행차 도입에 따른 교통 흐름 변화의 이해
자율주행차(AV)는 사람 운전자의 판단 오류, 반응 지연, 불규칙한 주행 습관을 배제하고, 센서 및 통신 기반으로 정밀한 제어와 경로 최적화가 가능하다. 이러한 특성은 기존의 교통 흐름에 다음과 같은 영향을 준다:
- 차간 거리 감소: 정밀 제어로 안전한 최소 간격 유지 가능
- 정체파(density wave) 억제: 급정지·급가속 패턴 최소화
- 혼잡구간 흐름 안정화: 병합, 우회전, 신호대기 등 상황에서 예측 가능한 운전
- 도로용량 증가: 동일 도로에서 더 많은 차량 통행 가능
- 경로 다변화 및 최적화: 네트워크 차원에서 동적 경로 설정 가능
그러나 AV의 영향은 도입률에 따라 다르게 나타나며, 사람 운전자와 혼재하는 상황(Mixed Traffic)에서 오히려 흐름이 불안정해질 수도 있다.
2. 자율주행차 흐름 모델의 유형과 수학적 구조
자율주행차 흐름 모델은 전통적인 교통 흐름 이론을 기반으로 발전해왔다. 주요 모델은 다음과 같다:
▶ 1) 미시적 모델 (Microscopic Model)
개별 차량 단위로 위치, 속도, 가속도 등을 시간에 따라 추적
▷ 대표 모델: Intelligent Driver Model (IDM) + AV 확장형

an(t)=a[1−(vn(t)v0)δ−(s∗(vn,Δv)sn)2]a_n(t) = a \left[1 - \left( \frac{v_n(t)}{v_0} \right)^\delta - \left( \frac{s^*(v_n, \Delta v)}{s_n} \right)^2 \right]
- an(t)a_n(t): 차량 nn의 가속도
- vn(t)v_n(t): 속도, sns_n: 앞차와의 거리
- s∗s^*: 안전 거리 함수
- AV의 경우: 반응 시간 = 거의 0, s∗s^* 감소
IDM을 기반으로 AV는 더 짧은 간격으로 안정적 추종 가능, 이를 통해 도로 용량 증가 모델링 가능
▶ 2) 중간 모델 (Mesoscopic Model)
차량 군집 또는 속도 대역별 흐름을 추적하며, 계산 효율성과 개별성의 균형을 맞춤
- AV의 비율에 따라 차로 내 평균 속도와 점유율이 변동
- VISSIM, AIMSUN 등에서 AV 비율을 변수로 설정 가능
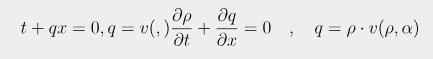
▶ 3) 거시적 모델 (Macroscopic Model)
밀도(density), 유량(flow), 속도(speed) 등 시스템 수준 지표를 연속 방정식으로 설명
▷ 예: LWR 모형(Lighthill-Whitham-Richards Model) 확장

∂ρ∂t+∂q∂x=0,q=ρ⋅v(ρ,α)\frac{\partial \rho}{\partial t} + \frac{\partial q}{\partial x} = 0 \quad , \quad q = \rho \cdot v(\rho, \alpha)
- ρ\rho: 교통 밀도
- qq: 유량
- α\alpha: AV 비율 (0 ≤ α ≤ 1)
- AV 비율이 높아질수록 v(ρ)v(\rho) 곡선이 상향 조정됨 → 용량 증가 효과 반영
▶ 4) 협력형 모델 (CAV: Connected & Autonomous Vehicle)
AV 간 통신(V2V) 및 도로 인프라와의 연계(V2I)를 통한 협력 주행(Coordination)
- 군집 주행(Platooning), 차선 병합, 신호예측 등 집단 지능적 이동 모델 필요
- Multi-agent 기반 시뮬레이션(MATSim, SUMO 등) 활용
3. 실제 적용 사례 및 시뮬레이션 결과
▶ 사례 1: 미국 캘리포니아 혼합교통 AV 시뮬레이션
- 도입률 0%, 20%, 50%, 80%에 대해 시뮬레이션 실시
- AV 도입률 50% 이상일 때, 도로 용량 15~25% 증가, 정체 시간 30% 감소
- 단, 20% 이하에서는 사람 운전자와의 상호작용으로 병목 현상 증가 확인
▶ 사례 2: 독일 하노버 자율주행 도심 실증
- 도심 내 자율셔틀 운행 및 차량 시뮬레이션
- IDM 기반 미시모델로 AV 운행 패턴 재현
- 결과: 통행 속도 8% 향상, 보행자와의 상호작용 시 안전 속도 감소 반영 필요성 도출
▶ 사례 3: 서울시 자율주행 교통 시나리오 평가
- 광역버스, 마을버스의 AV 전환 가정
- AV의 정시성 확보와 간선도로의 흐름 안정화 시뮬레이션
- 시나리오별 수단 전환율, 대중교통 이용률 증가 추정
4. 모델링 시 고려사항과 기술적 한계
▷ 1. 혼합교통 조건(Mixed Traffic)의 복잡성
- AV와 일반 차량 간의 상호작용 규칙이 불명확
- 끼어들기, 우회전, 보행자 반응 등 행태 가정 필요
▷ 2. 도입률 민감도
- AV의 비율에 따라 교통 흐름의 패턴이 급격히 변함
- 특정 임계점 이상에서만 효과 발현 → 임계비율 추정이 중요
▷ 3. 통신 지연과 오류
- V2V/V2I 통신이 원활하지 않을 경우, AV가 실제로는 반응 지연을 가질 수 있음
- 신호 손실, 지연 → 흐름 안정성 저해 요소
▷ 4. 데이터 부족 및 실제 주행 검증 어려움
- 대부분 시뮬레이션 기반 가정이므로, 실제 도시환경에서의 실증 데이터 부족
- 시뮬레이션 결과를 정책에 반영하기 위해 시범사업과의 연계 필수
5. 미래 방향성과 정책 연계 가능성
자율주행차 흐름 모델링은 단순한 차량 추적을 넘어, 도시 운영과 교통 정책을 설계하는 기반 분석 도구로 확장되고 있다.
▶ 1) 인프라 설계 최적화
- AV 주행 특성에 맞는 차로 폭, 신호 간격, 병합지점 설계
- AV 우선 차로(Lane Management) 시나리오 평가 가능
▶ 2) EV 및 탄소중립 연계
- 전기자율주행차 기반의 탄소배출 최소 경로 분석
- 배터리 효율 기반 속도 제어 모델링 → 에너지 최적화
▶ 3) MaaS 및 수요예측과 통합
- AV 기반 통합교통 서비스(MaaS)에서 수요 예측 + 흐름 모델 동시 적용
- 수단 배치, 이용자 경로 추천, 실시간 운영 지원
▶ 4) 스마트시티 디지털 트윈 연동
- AV 흐름 모델을 디지털 트윈 교통 시스템에 연동하여
정책 시뮬레이션, 사고 시나리오 테스트, 정체 예보 등에 활용
▶ 표: AV 흐름 모델별 비교 정리
모델 유형 적용 범위 특징 활용 도구 미시적 모델 (IDM 확장) 차량 단위 정밀한 추종행동 반영 VISSIM, SUMO 중간 모델 차량 군집 효율성과 해상도 균형 AIMSUN 거시적 모델 (LWR 확장) 시스템 수준 빠른 계산, 용량 추정 VISUM 협력형 모델 (CAV) 통신 연계 기반 집단 주행, 실시간 경로 최적화 MATSim, Flow
※ 자율주행차 흐름 모델링은 미래 교통의 '움직이는 알고리즘'을 설계하는 핵심 기술이다.
교통공학자는 이제 차량과 사람, 시스템이 협력하는 흐름을 수치로 예측하고 설계할 수 있어야 한다.
단순한 경로의 흐름을 넘어서, 지능과 기술이 만나 이루는 교통의 생태계를 정량화하고 최적화하는 도시 설계자로서의 역할이 요구된다.

'전공' 카테고리의 다른 글
소셜 최적화 모델 (교통 사회복지 최적화, Social Optimization Model in Transportation) (0) 2025.03.28 도시 혼잡 비용 계산 모형 (Urban Congestion Cost Estimation Model) (0) 2025.03.28 디지털 트윈 교통 시스템 (Digital Twin for Urban Mobility) (0) 2025.03.28 정책시나리오 시뮬레이션 모델링 (Policy Scenario Simulation Modeling) (0) 2025.03.27 스마트 모빌리티 데이터 통합 (Smart Mobility Data Integration) (0) 2025.03.27